求大佬帮忙解一下这道微分方程的题
解:微分方程为y'+ycosx=0,化为
dy/dx=-ycosx,dy/y=-cosxdx,
ln|y|=-sinx+ln|c|(c为任意非零常数)
方程的通解为y=ce^(-sinx)

求大佬帮忙解一下这道微分方程题
简单计算一下即可,答案如图所示


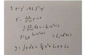
求大佬帮忙解一下这道微分方程的题目
解:设两直线的交点为(a,b,c)
则有(a-1)/(-1)=b/0=(c-2)/2,且
(a-2)×(-1)+[b-(-1)]×0+(c-3)×2=0;
化为b=0,2(a-1)=2-c,2(c-3)-(a-2)=0
b=0,2a+c=4,2c-a=4,得:a=0.8,
c=2.4,该点为(0.8,0,2.4);所求直
线方程为(x-2)/(2-0.8)=(y+1)/(-1-0)=
(z-3)/(3-2.4),即(x-2)/1.2=(y+1)/(-1)=
(z-3)/0.6,化为(x-2)/6=(y+1)/(-5)=
(z-3)/3

求大佬帮忙解答
3、解:①电压源单独作用时,电流源开路,下图:

U'ab=10×6/(6+6)=5(V)。
②电流源单独作用时,电压源短路,下图左,等效改画为下图右:

U"ab=2×6∥6=2×3=6(V)。
③叠加定理:Uab=U'ab+U"ab=5+6=11(V)。
4、解:电路中只存在两个闭合回路:2A——6Ω、3i——10V——4Ω。

所以:i=2A,Umb=6×i=6×2=12(V)。
Uam=10+4×3i=10+4×3×2=34(V)。
因此:Uoc=Uab=Uam+Umb=12+34=46(V)。
将电压源短路、电流源开路。在a、b端口外加电压U,设流入的电流为I。显然:i=I。下图:

根据KVL:U=4×(3i+I)+6×i=12i+4I+6i=22I。
所以:Req=U/I=22(Ω)。
即戴维南等效电路参数为:Uoc=46V,Req=22Ω。
求助大佬帮忙解一下这个高中数学的函数。感谢您的回答。
两边同时取对数,然后用对数运算法则
