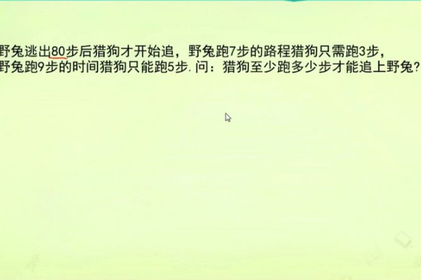
猎狗发现在离它10米远的前方有一只奔跑着的兔子方程怎么解
设狗跑5步与兔跑9步距离均为1米, 那么狗每步跑1/5米,兔子每步跑1/9 米 设狗跑2步与兔跑3步所用时间相等都是1秒, 那么狗1秒跑了2/5米,兔子1秒跑了3/9米 狗与兔子相距10米,是追及问题, 利用路程差÷速度差=追及时间 追及时间,再乘以狗的速度,即是狗跑路程 10÷(2/5-3/9)×2/5=60米 狗追上兔时跑了60米远.狗追兔子的问题

假设速度为v1的猎狗,从(L,0)出发(这里的L即为题目给的s,v1为题目的v2,v0为题目的v1),t时刻对应坐标(x,y)。
由于t=0时兔子和猎狗同时出发,所以兔子坐标为(0,v0*t)。
狗的速度方向指向兔子,所以狗和兔子的连线对任意时刻t而言,都是运动轨迹在(x,y)的切线。
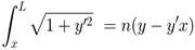
于是由几何关系可知

图中涂红的一段是猎狗走过的路程
所以,由曲线长度公式得

令

n∈(1,+∞)
由以上三式得

两边同时微分得

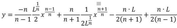
以上式子再加上x=L,y’=0的初始条件,可以解出狗追兔子曲线。 至于具体怎么解,楼主可以琢磨一下。其轨迹方程为

令x=0,则y、t都可以解得

y0为最终追上时,兔子的纵坐标

t为追及时间

画出大致的图像,比如n=2,L=5
当然,以上是高数的解法,如果题主是在物理竞赛书上看到这题,建议使用物理解法。
希望能帮到您,谢谢!
二道数学问题,急需求助!!!!快快快快快快
一楼第一题是错的. 第一题 分析:这是一题追及问题 1、“猎狗跑3步的路程野兔要跑9步”。按野兔步子算,猎狗一步等于野兔9÷3=3步 2、“猎野兔跑9步的时间猎狗跑4步”。按野兔步子为单位,同一时间内,猎狗跑4×3=12步,野兔跑9步。多12-9=3步。 3、80÷3×4=106又2/3步(猎狗跑的步数) 第二题 设小华有X,则小强有24-X (24-X-2):(1-20%)X=3:2 X=10 24-X=14 小强14小华10奥数题-狗追兔:
解:狗走五步的行程=兔走9步,即狗走10步的行程=兔走18步 狗走二步的时间=兔子走3步,即狗走10步的时间=兔走15步 也就是说,狗每走10步就可追上兔子:18-15=3步 设兔子一步是一米,则狗一步是:9/5米 那么狗要追上10米即兔子10步,就要走:10/3*10=100/3步。 即狗走了:100/3*9/5=60米追上。猎狗追兔问题的最简解法
猎狗追兔问题的最简解法是:设数法。设单位时间,得出每秒几步。设步长,从而求出各自速度。在得出速度后,根据题目运用追及或相遇基本公式解决。

猎狗追兔问题的例题:
猎人带着猎犬去打猎,发现兔子的瞬间(此时猎人、猎犬、兔子位于同一点上),猎人迟疑了一下才发出了让猎犬追捕的命令,这时兔子已经跑出了6步。已知猎犬的步子大,它跑5步的路程,兔子要跑9步;但兔子动作快,猎犬跑2步的时间,兔子能跑3步。那么猎犬跑多少步才能追上兔子?

设猎犬跑5步的路程(兔子9步)为1米,猎犬跑2步的时间(兔子3步)的时间为1秒。
S犬=1/5(米/步),S兔=1/9(米/步);
T犬=1/2(秒/步),T兔=1/3(秒/步);
V犬=2/5(米/秒),V兔=1/3(米/秒);
兔子跑6步跑动的距离:s=6*(1/9)=2/3(米);
猎犬要追上这段距离需要用时:t=s/(V犬-V兔)=10(秒);
10秒钟猎犬跑的步数为:10*2=20(步)。