黑天鹅26只白天鹅182只白天鹅的只数是黑天鹅的几倍
182÷26=7 白天鹅的只数是黑天鹅的7倍. 朋友,请采纳正确答案,你们只提问,不采纳正确答案,回答都没有劲!!! 朋友,请【采纳答案】,您的采纳是我答题的动力,如果没有明白,请追问。谢谢。小学四年级下数学第一、二单元测试答案
小学数学四年级单元形成性评价测试卷 (第一、二单元,50分钟完卷) 学校 班级 姓名 学号 等第 一、口算(共16分) 28+44= 64÷2= 13×3= 40×3= 56÷4= 18×4= 13×4= 40×30= 50÷10= 450÷90= 52÷4= 120÷30= 26×3= 84÷7= 52÷13= 120÷40= 二、填一填(每小题2分,共14分) 1.120分=( )时 8时=( )分 240秒=( )分 2.线段有( )个端点。把线段的一端无限延长,就得到一条( );把线段的两端无限延长,就得到一条( )。其中( )是有线限长的,( )和( )是无限长的。 3.经过一点可以黑天鹅的只数是白天鹅的几倍,黑天鹅有45只 ,白天鹅比黑天鹅少36只?
因为 黑天鹅有45只 ,白天鹅比黑天鹅少36只, 所以 白天鹅有45-36=9只, 所以 黑天鹅的只数是白天鹅的: 45÷9=5倍。今年在我国一个湖区过冬的白天鹅有182只,是黑天鹅只数的七倍,黑天鹅有多少只?
182/7=26 今年在我国一个湖区过冬的白天鹅有182只,是黑天鹅只数的七倍,黑天鹅有26只。这一道数学题怎么做?(小学三年级上黑天鹅有45只。白天鹅比黑天鹅少36只。黑天鹅的只数是白天鹅的几
解:45-36=9只,45÷9=5倍,黑天鹅是白天鹅的5倍,希望可以帮到你
含有未知量的等式就是方程了,数学最先发展于计数,而关于数和未知数之间通过加、减、乘、除和幂等运算组合,形成代数方程:一元一次方程,一元二次方程、二元一次方程等等。然而,随着函数概念的出现,以及基于函数的微分、积分运算的引入,使得方程的范畴更广泛,未知量可以是函数、向量等数学对象,运算也不再局限于加减乘除。

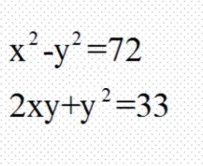
解二元二次方程组
方程在数学中占有重要的地位,似乎是数学永恒的话题。方程的出现不仅极大扩充了数学应用的范围,使得许多算术解题法不能解决的问题能够得以解决,而且对后来整个数学的进展产生巨大的影响。特别是数学中的许多重大发现都与它密切相关。例如:
对二次方程的求解,导致虚数的发现;
对五次和五次以上方程的求解,导致群论的诞生;
对一次方程组的研究,导致线性代数的建立,对多项式的研究,导致多项式代数的出现;
应用方程解决几何问题,导致解析几何的形成等等。
自从数学从常量数学转变为变量数学,方程的内容也随之丰富,因为数学引入了更多的概念,更多的运算,从而形成了更多的方程。其他自然科学,尤其物理学的发展也直接提出了方程解决的需求,提供了大量的研究课题