B树和二叉排序树,B树和B+树的区别
一、B树的起源
B树,最早是由德国计算机科学家Rudolf Bayer等人于1972年在论文 《Organization and Maintenance of Large Ordered Indexes》提出的,不过我去看了看原文,发现作者也没有解释为什么就叫B-trees了,所以把B树的B,简单地解释为Balanced或者Binary都不是特别严谨,也许作者就是取其名字Bayer的首字母命名的也说不定啊……
二、B树长啥样
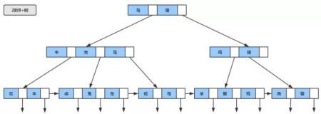
还是直接看图比较清楚,图中所示,B树事实上是一种平衡的多叉查找树,也就是说最多可以开m个叉(m>=2),我们称之为m阶b树,为了体现本博客的良心之处,不同于其他地方都能看到2阶B树,这里特意画了一棵5阶B树 。

总的来说,m阶B树满足以下条件:
每个节点至多可以拥有m棵子树
根节点,只有至少有2个节点(要么极端情况,就是一棵树就一个根节点,单细胞生物,即是根,也是叶,也是树)
非根非叶的节点至少有的Ceil(m/2)个子树(Ceil表示向上取整,图中5阶B树,每个节点至少有3个子树,也就是至少有3个叉)
非叶节点中的信息包括[n,A0,K1,A1,K2,A2,…,Kn,An],,其中n表示该节点中保存的关键字个数,K为关键字且Ki
从根到叶子的每一条路径都有相同的长度,也就是说,叶子节在相同的层,并且这些节点不带信息,实际上这些节点就表示找不到指定的值,也就是指向这些节点的指针为空
从根节点P开始,K的位置在P之前,进入左侧指针
左子树中,依次比较C、F、J、M,发现K在J和M之间
沿着J和M之间的指针,继续访问子树,并依次进行比较,发现第一个关键字K即为指定查找的值
有n棵子树的节点含有n个关键字(也有认为是n-1个关键字)
所有的叶子节点包含了全部的关键字,及指向含这些关键字记录的指针,且叶子节点本身根据关键字自小而大顺序连接
非叶子节点可以看成索引部分,节点中仅含有其子树(根节点)中的最大(或最小)关键字
B树的查询过程和二叉排序树比较类似,从根节点依次比较每个结点,因为每个节点中的关键字和左右子树都是有序的,所以只要比较节点中的关键字,或者沿着指针就能很快地找到指定的关键字,如果查找失败,则会返回叶子节点,即空指针
例如查询图中字母表中的K
三、Plus版——B+树
作为B树的加强版,B+树与B树的差异在于:

请点击输入图片描述
B+树的查找过程,与B树类似,只不过查找时,如果在非叶子节点上的关键字等于给定值,并不终止,而是继续沿着指针直到叶子节点位置。因此在B+树,不管查找成功与否,每次查找都是走了一条从根到叶子节点的路径
一道数据结构题,请问10阶B树,根结点所包含关键字个数的最大值和最小值分别是多少,谢谢
N阶B树的非根节点的关键字个数为(上取整)[m/2]-1<=n<=m-1,10阶B树的关键字个数为[4,9],即最小是4,最大是9。根节点至少两个分支,故根节点至少有1个元素,最多有9个元素设有ABCDEF,6个数据项,其出现的频度分别为654321,构造一棵哈夫曼树,
六个权值(频率)是654321
(1)从小到大排序123456(这是有序序列)
(2)每次提取最小的两个结点,取结点1和结点2,组成新结点N3,其权值=1+2=3,
取数值较小的结点作为左分支,1为左分支,2为右分支.
(3)将新结点N3放入有序序列,保持从小到大排序:
3N3456(注意,新结点N3要放在结点3的后面)
(4)重复步骤(2),提取最小的两个结点,结点3与N3组成新结点N6,其权值=3+3=6,
结点3与N3权值一样,但是,将结点3看成较小,所以,结点3作为左分支,N3就作为右分支.
(5)将新结点N6放入有序序列,保持从小到大排序:
456N6(注意,新结点N6要放在结点6的后面)
(6)重复步骤(2),提取最小的两个结点,结点4与结点5组成新结点N9,其权值=4+5=9,
4的数值较小,作为左分支,5就作为右分支.
(7)将新结点N9放入有序序列,保持从小到大排序:
6N6N9
(8)重复步骤(2),提取最小的两个结点,结点6与N6组成新结点N12,其权值=6+6=12,
结点6作为左分支,N6就作为右分支.
(9)将新结点N9放入有序序列,保持从小到大排序:
N9N12
(10)重复步骤(2),提取剩下的两个结点,N9与N12组成新结点N21,其权值=9+12=21,
数值较小的N9作为左分支,N12就作为右分支.
有序序列已经没有结点,最后得到"哈夫曼树":
N21
/\
N9N12
/\/\
456N6
/\
3N3
/\
12
哈夫曼编码:
规定哈夫曼树的左分支代表0,右分支代表1.
从根结点N21到结点6,先经历右分支,后经历左分支,结点6的编码就是10
从根结点N21到结点5,先经历左分支,后经历右分支,结点5的编码就是01
从根结点N21到结点4,先后经历两次左分支,结点4的编码就是00
从根结点N21到结点3,先经历两次右分支,最后经历左分支,结点3的编码就是110
从根结点N21到结点2,先后经历四次右分支,结点2的编码就是1111
从根结点N21到结点1,先经历三次右分支,最后经历左分支,结点1的编码就是1110
得出所有结点的"哈夫曼编码":
字符A(频率6):10
字符B(频率5):01
字符C(频率4):00
字符D(频率3):110
字符E(频率2):1111
字符F(频率1):1110
//C语言测试程序(来自其他网友)
//
//输入构造哈夫曼树中带权叶子结点数(n):6
//输入6个整数作为权值:654321
//可以得出哈夫曼树的广义表形式,以及哈夫曼编码.
#include
#include
typedefintElemType;
structBTreeNode
{
ElemTypedata;
structBTreeNode*left;
structBTreeNode*right;
};
//1、输出二叉树,可在前序遍历的基础上修改。
//采用广义表格式,元素类型为int
voidPrintBTree_int(structBTreeNode*BT)
{
if(BT!=NULL)
{
printf("%d",BT->data);//输出根结点的值
if(BT->left!=NULL||BT->right!=NULL)
{
printf("(");
PrintBTree_int(BT->left);//输出左子树
if(BT->right!=NULL)
printf(",");
PrintBTree_int(BT->right);//输出右子树
printf(")");
}
}
}
//2、根据数组a中n个权值建立一棵哈夫曼树,返回树根指针
structBTreeNode*CreateHuffman(ElemTypea[],intn)
{
inti,j;
structBTreeNode**b,*q;
b=malloc(n*sizeof(structBTreeNode));
//初始化b指针数组,使每个指针元素指向a数组中对应的元素结点
for(i=0;i{
b[i]=malloc(sizeof(structBTreeNode));
b[i]->data=a[i];
b[i]->left=b[i]->right=NULL;
}
for(i=1;i{
//k1表示森林中具有最小权值的树根结点的下标,k2为次最小的下标
intk1=-1,k2;
//让k1初始指向森林中第一棵树,k2指向第二棵
for(j=0;j{
if(b[j]!=NULL&&k1==-1)
{
k1=j;
continue;
}
if(b[j]!=NULL)
{
k2=j;
break;
}
}
//从当前森林中求出最小权值树和次最小
for(j=k2;j{
if(b[j]!=NULL)
{
if(b[j]->datadata)
{
k2=k1;
k1=j;
}
elseif(b[j]->datadata)
k2=j;
}
}
//由最小权值树和次最小权值树建立一棵新树,q指向树根结点
q=malloc(sizeof(structBTreeNode));
q->data=b[k1]->data+b[k2]->data;
q->left=b[k1];
q->right=b[k2];
b[k1]=q;//将指向新树的指针赋给b指针数组中k1位置
b[k2]=NULL;//k2位置为空
}
free(b);//删除动态建立的数组b
returnq;//返回整个哈夫曼树的树根指针
}
//3、求哈夫曼树的带权路径长度
ElemTypeWeightPathLength(structBTreeNode*FBT,intlen)//len初始为0
{
if(FBT==NULL)//空树返回0
return0;
else
{
if(FBT->left==NULL&&FBT->right==NULL)//访问到叶子结点
{
printf("+%d*%d",FBT->data,len);
returnFBT->data*len;
}
else//访问到非叶子结点,进行递归调用,
{//返回左右子树的带权路径长度之和,len递增
returnWeightPathLength(FBT->left,len+1)+WeightPathLength(FBT->right,len+1);
}
}
}
//4、哈夫曼编码(可以根据哈夫曼树带权路径长度的算法基础上进行修改)
voidHuffManCoding(structBTreeNode*FBT,intlen)//len初始值为0
{
//定义静态数组a,保存每个叶子的编码,数组长度至少是树深度减一
staticinta[10];
inti;
//访问到叶子结点时输出其保存在数组a中的0和1序列编码
if(FBT!=NULL)
{
if(FBT->left==NULL&&FBT->right==NULL)
{
printf("权值为%d的编码:",FBT->data);
for(i=0;iprintf("%d",a[i]);
printf("\n");
}
else//访问到非叶子结点时分别向左右子树递归调用,
{//并把分支上的0、1编码保存到数组a的对应元素中,
//向下深入一层时len值增1
a[len]=0;
HuffManCoding(FBT->left,len+1);
a[len]=1;
HuffManCoding(FBT->right,len+1);
}
}
}
intmain()
{
intn,i;
ElemType*a;
structBTreeNode*fbt;
printf("输入构造哈夫曼树中带权叶子结点数(n):");
while(1)
{
scanf("%d",&n);
if(n>1)
break;
else
printf("重输n值:");
}
a=malloc(n*sizeof(ElemType));
printf("输入%d个整数作为权值:",n);
for(i=0;iscanf("%d",&a[i]);
fbt=CreateHuffman(a,n);
printf("广义表形式的哈夫曼树:");
PrintBTree_int(fbt);
printf("\n");
//printf("哈夫曼树的带权路径长度:\n");
//printf("=");
//printf("\n=%d\n",WeightPathLength(fbt,0));
printf("树中每个叶子结点的哈夫曼编码:\n");
HuffManCoding(fbt,0);
return0;
}