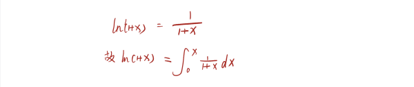
这是怎么变过来的?
第一步是一个变量替换:

由于积分结果与积分变量无关,所以积分号后的变量x可以换为t;
第二步是重要的幂级数展开式:

实质是|q|<1的等比数列求和
望采纳,可追问
1块钱=100分=10分钱*10分钱=0.1块钱*0.1块钱=0.01块钱=1分钱。 我想问下这个是怎么变过来的? 原理!
我们先来看,100分里有十个十分,算式形式应为10*10分钱,而并非10分钱*10分钱,从数学的基本定义上来看,这一步的意义已经错了,再者加上表达形式上的微小不同,很容易使人弄错,实际上,在这一步中100分钱的定义已经错了
这个是怎么变过来的,

如图
这个等式是怎么变过来的?
原题=左边= =1/[(3+1)(3-1)]+1/[(5+1)(5-1)]+1/[(7+1)(7-1)]+......+1/[(2n+2)(2n)] =1/(2×4)+1/(4×6)+1/(6×8)+......+1/[4n(n+1)] =(1/4)[1/(1×2)+1/(2×3)+1/(3×4)+......+1/n(n+1)] =(1/4)[1/2+1/2-1/3+1/3-1/4+......+1/n-1/(n+1)] =(1/4)[1-1/(n+1)] =n/[4(n+1)] =右边
いただきまして这个して是怎么变过来的
动词いただく(顶く)的连用型いただき+助动词ます的连用型まし+表示中顿的て 动作的主体实际是自己这一方。动词原来的意思是得到,拿到,领受。这个表示是非常谦逊的,属于敬语的一个特殊用法。翻译过来是谢谢您给我礼物,实际是自己从对方那里得到礼物,但这个得到用的谦逊语。